ビリアル定理夜話 3
2005.8.29.
最終改訂 2022.3.

3.ビリアル定理のひろがり

ここまでのお話でビリアル定理について、その大まかな構成は分かっていただけたものと思います。 ここではビリアル定理あるいはそのアイデアが有効に機能する例として、 ポテンシャルエネルギーと運動エネルギーの関係とランジュバン方程式を取り上げます。

3.1.ポテンシャルエネルギーと運動エネルギー

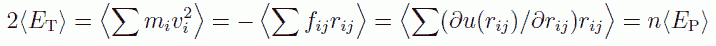
ビリアル定理は、運動エネルギーと粒子に働く力の関係を与えてくれるものと見ることができます。 ですから粒子に働く力とポテンシャルエネルギーとの間に、簡単な関係が成り立っている場合、 ビリアル定理は運動エネルギーとポテンシャルエネルギーの関係を与える法則として機能します。 もっとも簡単な例として、粒子間の相互作用エネルギーが粒子間距離の n 乗に比例する場合を考えて見ましょう。

VIRIAL_EQ20  (3.1.1)

もし系に外力が働いていなければ、平均運動エネルギーと平均ポテンシャルエネルギーの間に次のような関係式が成立します。

  (3.1.2)

この関係でもっともよく知られているのは、n = 2、つまり調和振動子の場合でしょう。 調和振動子の場合には平均のポテンシャルエネルギーは平均の運動エネルギーに等しく、 量子力学的な効果が無視できるなら 「1自由度あたり T/2 のエネルギーが配分される」という、エネルギー等分配則が成立します (量子力学的な効果が無視できない場合にも上のビリアル定理は成立しますが、 平均の運動エネルギーの大きさが T/2 ではなくなります)。 なおビリアル定理から明らかなように、調和振動子でない場合にはエネルギー等分配則は成立しません。 たとえば n = 4 なら、平均のポテンシャルエネルギーは運動エネルギーの半分になります。 こうした例としてシクロブタノン分子のひだ折運動 (? パカパカ運動? puckering)が、 よく挙げられます。

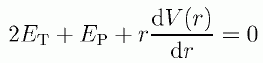
また n = -1 の場合、つまり静電的な相互作用系、あるいは重力系についても、 化学ではボーアの原子モデルなどのからみでおなじみでしょう。 静電(あるいは重力)的な相互作用をしている場合には、 平均のポテンシャルエネルギーは平均の運動エネルギーと符号が反対で大きさが2倍になります。 ときどき「内殻の電子の運動はゆっくりしている」と誤解している人がいますが、 内殻の電子の方が原子核との相互作用が大きいため、運動エネルギー自体は外殻より大きな値を持ちます。 なお静電的な相互作用をしているからといっても、 原子核の配置を固定してエネルギーを議論する場合には注意が必要です。 原子核の配置を固定するには外力が必要で、 クラウジウスの考えた外部ビリアルに相当する寄与を考慮に入れないといけないからです。 たとえば2原子分子で、ある結合距離 r での結合エネルギーを V(r) とすると、 結合距離 r でのポテンシャルエネルギー EPと運動エネルギー ET の間の関係式は、次式のように与えられます [S33]。

VIRIAL_EQ22  (3.1.3)

3.2.ランジュバン方程式

ビリアル定理を導出する際に見た技法は、ランジュバン方程式の取り扱いでも見られます。

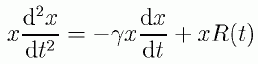
ある粒子が媒体の中で摩擦力を受けて運動する時、そのままにしておけばいずれは止まってしまいます。 けれども媒体を構成する粒子から、時々刻々でたらめに変化する力(乱雑力) R(t) が及ぼされるとすれば、 最後には粒子は乱雑な運動をする状態になります。 こうした運動の様子を記述するのがランジュバン方程式です。 ランジュバン方程式では速度に比例する摩擦力を考え、次のような形に書けます (以下、簡単のため1次元で考え、また質量を1とします)。

VIRIAL_EQ23  (3.2.1)

ここでγは摩擦力の比例係数です。

このランジュバン方程式から粒子の運動の様子を知るため、 両辺に座標 x をかけてみましょう。

VIRIAL_EQ24  (3.2.2)

力に座標をかけた・・・。 つまりビリアルを考えるわけです。 こうすると、クラウジウスのビリアル定理の導出で出会った役者たちがまた出てきます。

VIRIAL_EQ25  (3.2.3)

クラウジウスの取り扱いの時同様に、 ある長い時間たっての時間平均を考えると、左辺第1項は0です。 また乱雑力はでたらめに振舞うのですから、そのビリアルの時間平均は0です。 そこで平均2乗変位の時間変化は一定で、その変化率は温度と摩擦係数の比で与えられるいう、次の式が得られます。

VIRIAL_EQ26  (3.2.4)

クラウジウスの扱いでも、 平均2乗変位の時間についての2階微分の平均は0になるということでしたから、 平均2乗変位が時間に比例して大きくなるということは(暗黙のうちに)主張してはいました。 ランジュバン方程式は、 速度に比例する摩擦力という、いわば巨視的な法則をそのまま微視的な運動方程式に持ち込むことで、 平均2乗変位の時間変化に新たな光を当てたといえましょう。

なおランジュバン方程式の取り扱いでは、 乱雑力に関するビリアルは0になるが、 平均2乗変位の2階の時間微分は0にならない時間スケールを考えることで、 もう少し突っ込んだ議論が行われるわけですが、ここではこの程度で議論を止めておきます。


表紙に戻る