2005.5.31.
補記 2005.6.19.

容器に付いた水の水切りの速さ

吉村洋介

飲みきったつもりの缶コーヒーの缶を置いておくと、しばらくしてまた数滴分はたまって来ます。 同様のことはビュレットやピペットの操作でも起きてきます。 たとえばビュレットで 10 mL ぐらいの水を一気に出してすぐ目盛りを読むと、排出量として 0.1 mL 近く多目の値になってしまいます。 この容器に付着した水の量は、おおむね時間の平方根に反比例して減っていくと考えられます。 ここではその根拠となる“理屈”について整理しておきます。

なおここのお話はぼくが頭で考えたことで、実際に成立するかどうかは保証の限りでないことをお断りしておきます。 またこうした問題は大昔からいろんな人が考えてきたはずだと思う(補記参照)のですが、畑違いの悲しさ、参考とすべき文献等が見当たらず、とんでもない思い違いがあるかもしれません。 いろいろご指摘いただければ幸甚です。

水の流下速度と水の厚みの時間変化

RES_WATER_ILLX
図1.均一に濡れたガラス板から水が滴り落ちてくる

図1のように、幅 w、長さ L のガラスの壁面が水で濡れていて、垂直に立てかけられているとしましょう。 幅 w は十分大きい、あるいはガラスの壁面が円筒形になっていて、端の効果は無視できるものとします。 下向きに z 座標をとり、高さが z の場所での水の層の厚みを h、単位幅当たり単位時間に落ちてくる水の量を vz とします。

単位時間当たり落ちてくる水の量 vz は、下にいくほど上から落ちてくる水を集めて大きくなるでしょう。 落ちてくる水の速さが下の方にいくほど速くなるとすると、ある地点で水の量の出入りを考えると、入ってくる水の量より出て行く水の量が多いということ。 つまり水の層の厚み h が時間とともに減っていくことに対応します。 この水の収支は次の「連続の式」にまとめることができます。

RES_WATER_EQ_01 (1)

落ちてくる水の速さ vz が水の層の厚み h の関数として与えられれば、(1) 式から水の層の厚みの変化、付着している水の量の変化が評価できることになります。

流下速度と付着水の厚さ

RES_WATER_ILLY
図2.ガラス板上の水の流れ

落ちてくる水の速さは、付着している水に働く力の釣り合いに注目することで評価できます。

図2は濡れている水の層の断面を見たところです。 ガラス面はよく水に濡れていて、ガラス面と接している水は流れないとします。 ガラス面と接している水の層の厚みはおそらく数十分子層、せいぜい数十nm のオーダーでしょう。 以下で問題とするのは、このガラス面と密着している層の上にある、数十µm の厚みの水の層の流れです(ガラス製のホールピペットで水の残着量を調べた結果からは、濡らしてすぐの状態で典型的には水の層の厚みはおよそ 0.05 mm、50 µm 程度と考えられます)。 水の流れの速さはガラス面から離れるにしたがって速くなります。 そして速度勾配に比例したまさつが働く(ニュートン流体としてふるまう)ものとします。

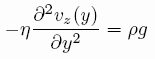
ある程度時間がたって流れの様子が定常的になった状況、速度の時間変化が極めて小さくなった状況を考えます。 この時、y と y + Δ の間の厚みがΔの薄い膜を考えると、下向きに働く重力と、膜の両面に働いている粘性力が釣り合った状態になっています。 単位断面積の薄い膜に働く力を考えると、次の関係式が成立します。

RES_WATER_EQ_02 (2)

ここでηは水の粘度(~ 1.0 mPa s)、ρは水の密度(~ 1000 kg m-3)、g は重力加速度(~ 10 m s-2)です。 十分膜の厚みΔが小さければ左辺は速度の2階微分で表現でき、下式が成立することになります。

RES_WATER_EQ_03 (3)

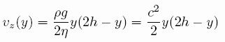
この微分方程式の境界条件として、(a) 器壁と接しているところでは動かない v(0) = 0、(b) 空気と接するところではまさつが働かない ∂v(y)/∂y = 0、という条件を課すと、以下のような流下速度の水平方向の分布が得られます。

RES_WATER_EQ_04 (4)

ここで ρg/η を c2 とおきました。 典型的な水の物性値などを用い、c2 は 1.0×107 m-1 s-1 になります。 水の流下速度のガラス面に垂直方向の分布は、空気と触れる表面を頂点とする放物線で表され、最大流速は c2h2/2。 水の厚みの2乗に比例し、水の厚みが 0.1 mm だとざっと 5 cm/s ということになります。 この式を水の層の厚み方向、y 方向に積分することで、落ちてくる水の速さ vz の表現を得ることができます。

RES_WATER_EQ_05 (5)

単位時間に水が落ちてくる総量は、水の厚み h の3乗に比例します。 付着している水の量が10分の1になると、落ちてくる水の速さは千分の1にまで減るわけです。 実際に数値を入れてみると、水の厚みを 0.1 mm、幅 w を 1 cm とすれば、毎秒 0.03 mL。 1秒当たり1滴弱の水が落ちてくる勘定になります。

付着水量の時間変化

水の落ちてくる速度が水の層の厚み h の関数として与えられたので、連続の式((1) 式)から次の方程式が成立します。

RES_WATER_EQ_06 (6)

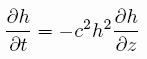
水の層の厚みが高さ z と時間 t の関数であることをあらわに示すために h(z, t) と表記し、変数分離形で解を求めると次式のような表現を得ます。

RES_WATER_EQ_07 (7)

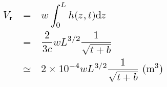
ここでガラス壁の最上部で水の厚みが 0 (h(0, t) = 0)としました。 定常状態では、水の厚みはガラス壁の最上部からの距離 z の平方根に比例して厚くなり、だいたい時間の平方根に反比例して薄くなっていきます。 定数 b は最初の付着水の量から決まる定数です。 ここでは定常状態に近づく近づき方(そして幅方向の不均一さ)は問題にしていませんので、定常状態になったときの付着水の量が分かれば十分なわけです。 付着水の総量 Vr は水の厚みを長さ方向、z 方向に積分すればえられます。

RES_WATER_EQ_08 (8)

10 mL のホールピペットに即して簡単な評価を試みてみましょう。 ホールピペットの胴の部分に注目すると w = 10 cm、L = 3 cm 程度でしょう。 初期に濡れている水の付着量が 0.1 mL とすると、b = 1 s ぐらいになります。 排水時間として 20 s 程度を想定すると、排水が終わった時点で残着量は 0.022 mL 程度。 排水時間が 5 s 長いと 0.020 mL です。 20 s 程度待てばその後数秒余分に時間がかかっても、採取容量には 2 µL のちがいしか現れないことになります。 このことは、ピペットの標準的な操作に「理論的」な裏づけを与えてくれるものといえるでしょう。


2005.6.19.

補記 ヌセルトの水膜理論

伝熱現象に関する本を読んでいて、蒸気凝縮に関するヌセルト(Nusselt)の水膜理論というのが、もっと進んだ形ではありますが、ここで扱っているのと同様の問題であることを知りました。 ヌセルトの水膜理論では、立てかけた冷たい板に水蒸気が凝縮して落ちてくるという現象を扱います。 水の供給があるので「水切り」は起きませんが、興味深いので簡単に紹介しておきます。

水蒸気の凝縮は水の層を介しての熱伝導によって起こり、熱伝導に対するフーリエの法則から、熱伝導の大きさは壁と水の膜の表面の温度勾配に比例すると考えられます。 ガラス壁と水の膜の表面の温度の温度差 ΔT が一定であるとし、また熱伝導度の温度変化を無視すると、水蒸気の凝縮による水量の増加は水の膜の厚み h に反比例します。 この凝縮による水の供給と水の落ちていく速度がつりあっている状態を考えます。 つまり上記 (1) の連続の式で、水の膜の厚みの時間変化がないと考えるわけです。

res_water_eq_09.png(3560 byte) (9)

ここで K は、水の熱伝導度λ、蒸発熱 Q を用いて次式で表されます。

res_water_eq_10.png(2480 byte) (10)

さて単位幅あたりに水の落ちてくる速さ vz が (5) 式のように表現できるとすると、(9) 式から、水の厚みはガラス壁の上端からの距離 z の関数として次式のように得ることができます。

res_water_eq_11.png(927 byte) (11)

単位幅あたり凝縮してくる水の総量 vcond は、ガラス壁の下端における水の層の厚み h(L) を (5) 式に代入して求められます。

res_water_eq_12.png(5533 byte) (12)

水蒸気の凝縮速度はガラス壁の長さと温度差の 3/4 乗に比例することになります。

このヌセルトの水膜理論は粘度や熱伝導率の温度依存性など考慮されておらず、ラフな理論のように見えますが、現実をよく説明するようです。

参考文献
相原利雄、「伝熱工学」、裳華房、1994。
(ヌセルトの原論文は、1916 年に発表されています:W. Nusselt, Z. Verein Deutcher Ingenieure, 60 [27], 541 (1916))


学生実験ノートに帰る