1990年の化学教室の分析化学の学生実験の大改訂に際して、実験への「導入」に相当する課題がいくつか付け加わりました。 ここで組み込まれた課題の中で、「目盛りはどこまで読めるか」というものがあります。

通常、ビュレットなどの目盛りは最小目盛りの十分の一まで読むことになっています。 なぜ十分の一か?はたしてまたそれは可能か? この課題は、それを実際に確かめようとするものです。 ここでは、この課題についての過去の経験を紹介しましょう。


2001.8.15.

読み取り誤差 過去の経験(91年度)

吉村洋介

通常、ビュレットなどの目盛りは最小目盛りの十分の一(通常 0.01 mL)まで読むことになっている。 そのように教わって、最小目盛りの十分の一まで読むけれど、なぜ十分の一なのだろう? 最小目盛りの十分の一まで読むというのは、人間の知覚能力で正確に読める限界から割り出されたものなのか? あるいはもっと、“文化的”な背景を持っているのか? もし10進法でなく12進法をわれわれが採用していたら、最小目盛りの12分の1まで読むことになったのだろうか?あるいは60進法であれば・・・? この課題は、そうした疑問に応えるものとして企画された。 さらに対数目盛りの読み取りもオプションで準備してある。

どんな実験をするか

方法はいたって簡単。2人が向かい合って座る。そして、一方には粗い目盛り、もう一方にはその10分の1までの細かい目盛りが付けられたものさしと、それにカーソルを付けたものを使って、用意した乱数表に従って、出題と読み取り、あるいは設定と読み取りを行うのだ。

第一の方法は、細かい目盛り側に陣取った側が、所定の数値の位置にカーソルを合わせ、粗い目盛りの側の人間がそれを読み取る。 これは9割以上の確率で的中する。次に今度は、粗い目盛りの側の人間が、所定の数値の位置にカーソルを合わせ、その位置を 0.01 の精度で、細かい目盛りの側の人間が読み取るのだ。第2の場合は、設定した数値からのずれがかなり明瞭に出てくる。 以下では、この第2の実験で、どのような偏差が現れるかを紹介しよう。 この実験を行ったのは、91年度の化学系の3回生諸君58人。 以下偏差 Δ は、粗い目盛り側の人間が設定した位置 mset から所定の位置 m を引いたもので表すものとする。

Δ = mset - m

実験結果を図1にまとめよう。

MEMORIX
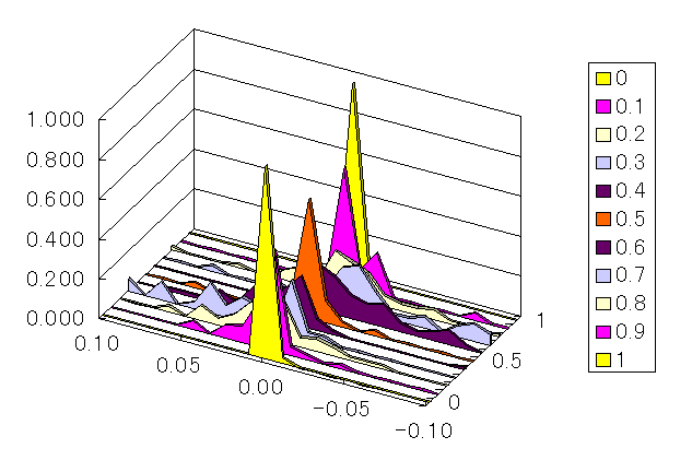
図1.設定値の偏差

さすがに目盛り上の値(0.0、1.0 といった数字)をはずすことはまずない。 それ以外の数値については、設定値は一般に中央方向(0.5)に向かってずれる。 たとえば 0.2 に設定したつもりが、0.25 付近になっていたりする(同様に 0.8 のつもりが 0.75)ことがあるわけだ。

偏差の分布は対称的ではないが、その平均と標準偏差を取ってみると、図2のようになる。

MEMORIY
図2.各値における、設定値の平均と標準偏差。標準偏差はエラーバーで表示してある。

偏差は 0.3 あるいは 0.7 で最大となり、設定値は正確な位置よりも、より中央部にずれる。 中央部、0.5 では設定の誤差は 0.03 程度(2 σ)に収まる。

元来 0.4 である数値を 0.3 (あるいは 0.6 を 0.7)と読み誤ることが 10% ぐらいの確率で起き得るようである。 他の数値については、読み誤りはほとんど考えられない。 したがって全領域を眺めると、最小目盛りの十分の一まで読むことが、人間の感覚に即したとき、妥当な水準であることを物語っている。 また中央の値 0.5 については、30分の 1 程度まで精度よく読むことができるらしい。

最後に、このデータから得られる、「心象風景」の中の目盛りを書いてみたものを紹介しよう。

MEMORIZ
図3.「心象風景」の中の目盛り(赤)。黒は等間隔に引いた線。

単に2本の目盛り線を与えられると、ぼくたちは図3の赤線のような目盛りを、心の中で準備しているようなのである。


学生実験ノートに帰る