学習指導要領の改訂などにともなう学生の変化に対応すべく、2002年度から新たに、「3.分析実験の基礎 ―― データの取扱いとpH」という課題が加わりました。 この課題の中には、2003年度まで手近な薬品を用いた簡単な化学量論的な実験として、炭酸カルシウムの塩酸への溶解の実験が組み込まれていました(2004年度からは「セスキ炭酸ナトリウムの塩酸への溶解」として、レポート作成演習の要素も加味して実施)。 炭酸カルシウムが塩酸に二酸化炭素を発生しながら溶けることは小学校でも習いますし、その際の重さの変化を測る実験も中学校・高校でやっている人も多いことでしょう。 このよく知られた実験を、当化学教室の大学3年生の皆さんにやってもらった結果を紹介します。


2004.5.3.

炭酸カルシウムの塩酸への溶解 2002~2003年度

吉村洋介

炭酸カルシウムの粉末を塩酸に加えると

CaCO3 + 2 HCl → CaCl2 + CO2 + H2O

という反応式にしたがって、二酸化炭素を発生して炭酸カルシウムは溶解します。 炭酸カルシウムの式量は 100.1、二酸化炭素の分子量は 44.0 ですから、二酸化炭素が失われる分だけ重量が減少するなら、加えた炭酸カルシウムの質量の 44.0% が失われる勘定になります。

実験

実験は2人ずつのグループになってもらって実施しました。 実験の操作は次のような手順で行います:

中学・高校ぐらいでは、0.1 g ぐらいの精度で秤量することが多いようですが、ここではもう1ケタ細かいところまで追求しています。 塩酸には標定済みの市販の 1.00 mol/L 分析用試薬(ファクター値は2002、2003年度ともに 1.002)を用いました。 濃塩酸を希釈して調製するより値は張りますが、準備する手間が馬鹿にならないと考えてのことです。 1.002 mol/L 塩酸を 50 mL 使っているので、計算上当量の炭酸カルシウムは 2.51 g、発生する二酸化炭素は 1.10 g になるはずです。

炭酸カルシウム粉末には、沈降炭酸カルシウム*を用いました。 薬包紙(あるいはアルミ箔を切ったもの)を使って炭酸カルシウムを秤量し、それをフラスコ中に投入します。 この操作の際に薬包紙に付いたままの炭酸カルシウムは誤差になりますが、0.01 g のオーダーまでの測定なので深刻な問題ではありません。 三角フラスコの内壁付いた炭酸カルシウムの粉末の措置は問題で、多くは振り混ぜて洗い落とせば溶かせますが、三角フラスコの口のあたりに付いたものは無理で、いたしかたないところでしょう。

実験の所要時間はグループによってばらつきはありましたが、実験に取り掛かって遅くとも30分ぐらいで終了していたようです。 なお秤量もドラフトで行ってもらったのですが、排気の関係で風が起き、電子天秤を置く位置によっては秤量値の精度に問題が残りました。

* 化学的にカルシウム塩と炭酸塩、あるいは消石灰と二酸化炭素の反応で溶液から沈殿・乾燥させたもので、以前の日本薬局方には記載されていました。 工業的には軽タン、軽カルなどとも呼ばれるようです。 石灰石などを機械的に粉砕して作られるものは重質炭酸カルシウム(重タン、重カル)と称されます。 ちなみに人形の顔などに使われる胡粉は貝殻を細かく砕いて作ったもので、重質炭酸カルシウムの仲間ということになります。

結果の解析

加えた炭酸カルシウムの総質量を mX g、溶液を含むフラスコの重さの増加量を Δmgain g とします。 実験結果を整理する上で、このフラスコの重さの増加量に注目する見方と、加えた炭酸カルシウムの質量の欠損 Δmloss = mX - Δmgain に注目する見方とがありえます。 図1に、両者の考え方に沿った解析結果を示します。 フラスコの重さの増加量の方がより生の情報に近いわけですが、質量欠損をグラフにした方が変化のようすは判然とします。 以下ではもっぱら質量欠損を示します。

CACO3_1A CACO3_1B 図1.質量の増加量(Δmgain)と質量欠損(Δmloss)の変化

学生実験の結果 2002-2003年度

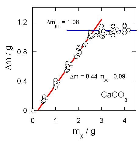
2002、2003年度、それぞれ同じ数の25グループが実験を行いました。 炭酸カルシウムをこぼしたり、秤量の際に風袋操作を誤ったと思われるグループがあり、それぞれの年度から15グループ、全部で30グループの得たデータを示したのが図2です。 反応初期の、発生した二酸化炭素の溶液への溶解とフラスコ内の空気が二酸化炭素に置換進む過程では、質量欠損は小さいものに止まります。 0.5 g 加えたあたりからほぼ定常的に反応が進行して二酸化炭素の放出による質量欠損が起き、2.5 g を過ぎたあたりで反応は終息して二酸化炭素の発生が止まり、質量欠損も生じなくなります。

CaCO30203.PNG
図2.炭酸カルシウムの塩酸への溶解にともなう質量欠損。1.00 mol/L 塩酸 50.0 mL への溶解。2002-2003年度の結果。

二酸化炭素の発生が定常的に起きている領域では、質量欠損は加えた炭酸カルシウムの 44%。 式量からの計算値とぴったり一致します。 水蒸気や霧の発生を考えると、驚くべき一致というべきでしょう。 もっとも霧の寄与を無視し、水蒸気の寄与だけを考えれば、水の蒸発の効果は大きくありません。 実験が 20℃で行われているとすると、1 g の炭酸カルシウムの溶解で 0.24 L 分の二酸化炭素が発生します。 飽和水蒸気の密度が 0.017 g/L ですから質量欠損への寄与の度合いは +0.004 g。 誤差に埋もれる程度の大きさにしかなりません。 霧の寄与があるので、水の蒸発・飛散による効果はもう少し大きいでしょうが、用いた沈降炭酸カルシウムの純度(99%以上とビンには記載されています。純度が低ければ、質量欠損は低く出る)とのかねあいもあって、質量欠損が計算値とぴたり一致する結果になったものと思われます。

次に反応の当量点、あるいは発生する二酸化炭素の総量について見てみます。 反応の当量点は質量欠損が起きなくなったところと考えられます。 その意味では図2の2直線の交点が当量点に相当すると考えられ 2.66 g 程度と推定されます。 これは式量から計算される 2.51 g より 0.15 g 大きい値です。 一方、目視観察からは、ちょうど 2.5 g 加えたあたりでちょうど二酸化炭素の発生が止まり、引き続いて 0.5 g 加えてもほぼすべてのグループで、二酸化炭素の発生が観察されていません。 二酸化炭素の発生が観察されないのに質量欠損が起きているというのは、三角フラスコの内部から二酸化炭素が流出し、外部の空気と入れ替わったことによるのではないかと考えられます。 20℃で空気の密度は 1.2 g/L、二酸化炭素の密度は 1.8 g/Lです。 100 mL の三角フラスコの全容積は 130 mL 程度ですから、80 mL の 二酸化炭素がすべて空気と置き換われば 0.05 g の質量欠損として現れることになります。 これは炭酸カルシウムの質量に引きなおすと約 0.1 g に相当し、実験誤差も考慮すれば図2の結果を説明できます。

発生した二酸化炭素の総量を求めるには、最終的な質量欠損の値 Δminf = 1.08 g のほかに、溶液中に溶存する二酸化炭素量、フラスコ中の気体の二酸化炭素の寄与を考慮しなければいけません。 溶存する二酸化炭素等の寄与は、反応の最初の直線の切片で評価でき 0.09 g。 したがって発生した二酸化炭素の総量は 1.17 g ということになります。 先に述べた二酸化炭素の流出を考えると、式量から計算される発生二酸化炭素総量 1.10 g と一致していると見てよいでしょう。

おわりに

塩酸に対する炭酸カルシウムの溶解の実験は簡便な実験ではありますが、およそ 3%以上の精度で炭酸カルシウム中の二酸化炭素含量を得ることができます。 化学量論的な関係の成立を確かめる上でよい題材といえます。 また 0.01 g 程度まで測定することで、溶存する二酸化炭素の問題や空気の浮力の影響など、実験に影響する種々の因子を考えてもらう上でも有用です。 ただし三角フラスコ内部の二酸化炭素の流出が起きて、質量欠損のデータから当量点を定める分には、精度はあまり期待できないようです。

なお実施に当たっては、特に風袋処理を確実に行うように指導する必要があります。 実験がある程度進んだ段階で、薬包紙などで炭酸カルシウムを量る際に風袋処理をしたまま(薬包紙は約 0.25 g)フラスコの重さを量ったため(フラスコが見かけ上 0.25 g 程度軽くなる。フラスコの重さは 120 g ぐらいあるので気が付かないことが多い)、質量欠損が急に大きくなったと思われる例が多数見られました(25グループ中10グループのデータに問題があったのは、主にこれが原因と見られます)。 今回、一台の天秤で、炭酸カルシウムの秤量とフラスコの秤量を連続して行うように指導したのでこうした事態が起きました。 最初に炭酸カルシウムを 0.5 g 程度ずつ精確に秤量して分包し、それを逐次フラスコに投入して反応後の重さを量るようにすればよかったのかもしれません。


学生実験ノートに帰る