1次元流体についての低次元な話 3
2006.9.12.

3.ポアソン過程

1次元流体の構造の話に入る前に、 ポアソン過程について少し触れておきましょう。

平たく言えば、ポアソン過程というのは、特に制限を設けずに、でたらめに何か出来事が起きることです。 あまりよい例ではありませんが、流行らない店にお客さんが来る、 町を歩いていて 10 円玉を拾うといったことを想定してもらえばよいでしょうか。 ここでは気体中ででたらめに分子が衝突を繰り返す場合を考えます。

poisson.png

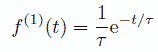
分子が平均的にτ秒に 1 回衝突するとすると、 t 秒後に初めて分子が衝突を起こす確率 f(1)(t)は、次の指数分布で表されます。

eq03a.png  (3.1)

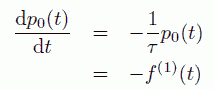
このことは、 「t 秒間衝突しない確率」 p0(t) に注目することで示せます。 t 秒の間何も起きない確率は、わずかな時間間隔 Δt を考えると、(Δt/τ) p0(t) ずつ減っていきます。 そしてそれは、t 秒目に初めて衝突する確率 f(1)(t) にΔt をかけたものに等しいはずです。 ですから次の方程式が成り立ちます。

eq03b.png  (3.2)

この微分方程式、t = 0 で「衝突しない確率」が 1 である p0(0) = 1 ことから、 指数分布が導かれます。

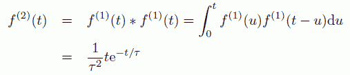
次に「t 秒後に2回目の衝突が起きる確率」 f(2)(t) を考えます。 これは「t 秒間のどこか u 秒(0 < u < t)で1回目の衝突が起き、その後 t - u 秒で2回目の衝突が起きる確率の総和」です。

convolution.png

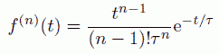
ですから「t 秒後に2回目の衝突が起きる確率」 次のような畳み込み積分で評価でき、 計算を実行すると t exp(-t/τ) の形の関数が得られます。

eq03c.png  (3.3)

同様にして一般に「t 秒後に n 回目の衝突が起きる確率」は、次のような式で表現できます。

eq03d.png(1062 byte)  (3.4)

なおここではポアソン分布を前面に出さない形で述べましたが、 これらの式は「t 秒間に m 回の衝突が起きる確率」がポアソン分布に従うことから導けます。 あるいはここでは衝突時間に注目しましたが、 「自由行程」の分布でも同様の議論ができ、 1次元流体の構造とより直接的に結びついた議論といえるかもしれません。


前の章へ   次の章へ
表紙に戻る